等差数列原来如此重要-凯发棋牌
【天门华图】咨询电话:0728-5886868、 17762343786、 18171954322
地址:湖北省天门市陆羽广场陆羽酒店正门西边华图教育(天门市政府对面)
【潜江华图】
咨询电话:0728-6555868、17371746868
地址:湖北省潜江市章华南路中润·金桥郡商业3区102华图教育(潜江市体育馆后面)
【仙桃华图】
咨询电话:0728-3200800、19971598859
地址:湖北省仙桃市新天地国际广场写字楼21楼华图教育(仙桃市沃尔玛旁)
一、定义和概念
等差数列:一个数列从第二项起,每一项与它的前一项的差等于同一个常数。
比如,数列1,3,5,7,9,11,在这个数列当中,后一项与前一项的差均为2,所以这是一个公差为2的等差数列。
首项:数列当中的第一项,用
表示。
表示。 末项:数列当中的最后一项,用
表示。
表示。 公差:固定的差值,用d表示。
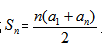
前n项和:用
表示。
表示。 二、基本公式
1.通项公式:

2.求和公式:

中项求和公式:

三、典型例题
某学校组织活动进行队列训练,学生们组成一个25排的队列,后一排均比前一排多4个学生,最后一排有125个学生。则这个队列一共有( )个学生。
a.1925 b.1875 c.2010 d.1765
【答案】a。解析:根据题目信息后一排均比前一排多4个学生,可以判断这个队列为公差为4的等差数列,其中n=25,d=4,,问题所求为这个数列的前25项和。
方法一:根据通项公式,求出第一项
,
,解得
。根据等差数列前n项和公式
,可得
,共有1925个学生。选a。
,
,解得
。根据等差数列前n项和公式
,可得
,共有1925个学生。选a。 方法二:直接求中间项
,则等差数列和为
。
,则等差数列和为
。 通过例题的讲解,相信大家已经对等差数列的相关知识点有了一定的了解,等差数列作为计算问题中比较重要的一个知识点需要各位同学重点掌握,相信各位同学经过不断的练习和总结一定能够很好的解决这部分题型。
